After rape allegation, House of Hope megachurch enforced agreement to silence media personality

Popular online media personality and former pastor Larry Reid says the House of Hope Atlanta took legal action that silenced him for weeks after he interviewed a woman who claims she was threatened for reporting a rape that church officials allegedly have been trying to cover up for the last four years.
“Please take this notice as an official request to immediately comply with the orders of the court entered in Fulton and Dekalb Counties by Judge Edmond Adams and Judge Seeliger,” began a message Reid said he received in early September from the church’s lawyer, Quinton Washington, along with two subpoenas to appear in court.
“We will have two hearings on September 11, 2019 unless we reach settlement beforehand. You are not to speak about these matters to anyone and must bring all materials requested in the subpoenas. Further, as we have spoken before and you have not heeded my advice please immediately take down all of the information as the Court orders. Please understand this is not a request these are orders by TWO different Superior Court judges.”
“I will be monitoring all of your social media to ensure compliance starting tomorrow morning as you were served tonight. I interpret take down as immediately as ‘right now’ and definitely before court on the 11th of September. Further ALL communication on any platform you control or use must cease about my client, his place of work etc.”
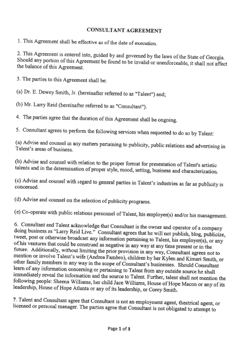
The church’s action comes after the alleged rape victim — whom The Christian Post is only identifying as Octavia for security reasons — told Cobb County police officer C.B. Neill that she believes someone connected to the church left a threatening message in her mailbox for speaking to Reid about the alleged sexual assault.
“She found a small white piece of paper in her mailbox on September 1st that read, ‘Octavia Stop NOW or Else 83019,’” Neill wrote in his report.
In Octavia’s interview with Reid, he said she told him she was drugged and raped.
“I have a confession and the details of what happened, but they covered it up,” Reid told CP about the allegations against the church. “There was a rape that occurred ... drugged and raped.”
Neill, in his report, said: “Reed (sic) posted the interview on his blog located on the Patreon.com website even after [redacted] told Reid she did not give consent for the interview to be shared.”
Reid, however, told CP that Octavia did give him her consent to publish the interview on Patreon.com and provided evidence to support his claim.
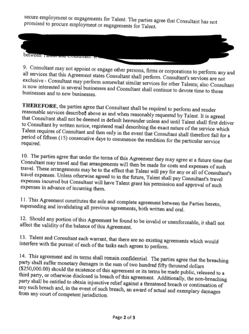
He previously admitted to entering into a “consultant agreement” with House of Hope Atlanta’s leader, E. Dewey Smith, for $10,000, which barred him from reporting anything that would negatively impact Smith’s business or his family. A copy of the agreement between Smith and Reid, viewed by CP, shows that if either party breached the agreement they would suffer monetary damages of $250,000.



Reid argued that Smith invalidated the confidential agreement by speaking to third parties about it, freeing him to report on the rape allegations as well as claims that Smith fathered a child out of wedlock. However, a temporary restraining order kept the media personality silent since early September until recently, Reid said after it expired.
House of Hope Atlanta did not respond to repeated requests from CP for comment on the allegations. Smith's attorney also refused to answer any questions on the record.
When asked why he chose to enter into the consultant agreement with Smith in the first place, Reid told CP that as a former pastor who is aware that no one is perfect, he was trying to offer grace to Smith when he chose to stop reporting on allegations that Smith had fathered a child out of wedlock.
Reid said he later realized that he was manipulated into the agreement and that he did not fully understand that it would have prevented him from freely doing his job. He said at one point he offered to return the $10,000 to free himself from the agreement. But Phaedra Parks, managing partner of Atlanta-based law firm The Parks Group, who allegedly helped him to broker the agreement, did not respond to his suggestion.
Parks also did not respond to a request for comment from CP.

In a statement to CP last month, Reid said all he wanted to do with his reporting on House of Hope Atlanta was to get justice for the alleged victim and others like her who suffer abuse at the hands of churches.
“My purpose for what I do is to help the voiceless, raise needed convos, and entertain along the way. Every LIVE and every post that’s my mission. I wanted baby Jase to be recognized, to unearth Octavia’s voice, and notify the people in the unknown who I believe are being harmed by being in the dark,” he said. “Also, if leaders have harmed sheep purposefully and regularly, I wanted to highlight that.”
He called on victims to come out of the shadows.
“I can’t fight for what I believe is morally right while the victims themselves are scared, mute and hiding,” Reid said.
When further contacted about the investigation of the allegations made by Octavia last month, a Cobb County Police representative said they could not divulge any further information to anyone not directly involved in the case.












