Bible found at charity shop sells for over $72K

A rare Chinese Bible donated to an Oxfam shop in England has sold at auction for over $72,000 (£56,280), far surpassing its estimated value of up to $1,000.
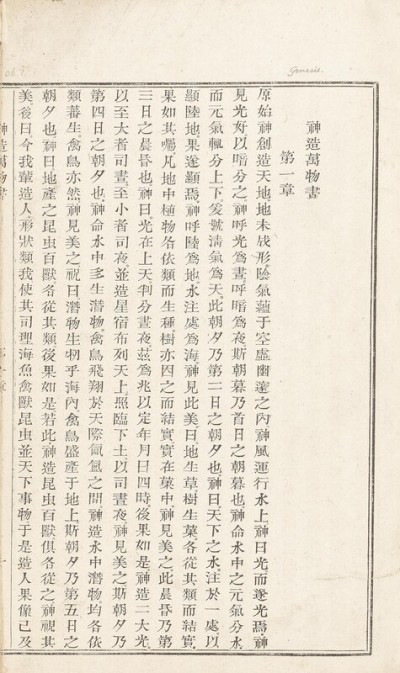
The historical text, dating back to around 1815, is thought to be the first complete translation of the Scripture into Chinese.
The Bible, discovered by volunteers at the bookshop in Chelmsford, Essex, was translated by Protestant missionaries John Lassar and Joshua Marshman, according to a statement from Oxfam.
It was found in a pile of donations by volunteers Chris Tyrrell and Eleanor Atac, who recognized its potential value and decided to send it for auction at Bonhams.
After two weeks of online bidding, the final sale price surprised staff at the Chelmsford shop.
"We were absolutely speechless," Nick Reeves, the bookshop manager, said. "When it was put up for auction, it was originally valued at a few hundred pounds, so we never imagined it might go for this much."
The Bible was part of a more extensive collection of rare books donated to various Oxfam shops.
A total of 23 titles, auctioned between March 10 and March 20, raised over $135,500 (£105,000) for the charity, which will use the funds to support global efforts to tackle poverty and inequality.
Among the notable high-value sales were a first edition of Charles Dickens' A Christmas Carol, fetching $21,460; a first edition of Karl Marx's Manifesto of the Communist Party, selling for $14,000; and a signed copy of Roald Dahl's Matilda, which sold for $2,971.
Ian Falkingham, Oxfam's donated goods strategy lead, underlined the impact of the funds raised.
"The Lassar and Marshman Chinese translation of the Bible was an exceedingly rare item, which we could not trace at auction previously," explained Dr. Lorenza Gay, associate specialist in books and manuscripts at Bonhams. "We hoped it would exceed the estimate, but it definitely surprised us with the final price achieved."
The other rare titles sold included a 17th-century manuscript prayer book, Prayers of the Lady Pakington, which sold for $14,000, and a first edition of Jane Austen's Pride and Prejudice "Peacock edition" from 1894, which achieved a price of $3,300.













